
책이름 : 세계를 바꾼 17가지 방정식
지은이 : 이언 스튜어트
옮긴이 : 김지선
펴낸곳 : 사이언스북스

수학자·대중과학 저술가 이안 스튜어트(Ian Stewart, 1945- )의 『세계를 바꾼 17가지 방정식』은 인류문명사를 이끈 위대한 수학의 힘을 보여주었다. 부제 ‘위대한 방정식에 담긴 영감과 통찰’이 말해주듯 기술의 발전과 패러다임의 도약을 이끌며 인류 역사의 경로를 바꾼 17가지 수학방정식을 엄선해 소개한 수학책이었다.
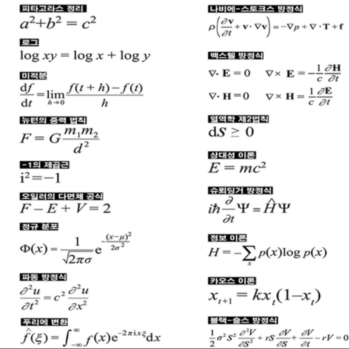
3,500년전 토지를 측량하기 위해 처음 생겨나, 대륙의 지도를 만들고 지구와 우주의 모양까지도 측량할 수 있는 피타고라스(기원전 580?-500?) 정리. 완벽한 로그표가 이용되면서 과학자, 공학자, 측량기사, 항해사들에게 필수적인 도구, 우리가 어떻게 우리 주위 세계를 감지하는가를 연구하는 인지과학 분야에서 쓰이는 존 네이피어(1550-1617)의 ‘로그’.
오늘날의 세계를 만드는데 다른 어떤 수학적 기법들보다도 더 큰 공헌을 한 아이작 뉴턴(1642-1727)의 ‘미적분’. 중력법칙은 우주의 모든 입자들은 그들의 질량을 곱한 것에 비례하고, 그들 사이의 거리를 제곱한 것에 반비례하는 힘으로 서로를 끌어당기는, 물체에 작용하는 힘과 물체의 운동간의 관계를 보여 준 아이작 뉴턴의 ‘중력 법칙’. 수를 상징적으로 나타내는 시스템 대수학, 오늘날의 표기법을 표준화한 레온하르트 오일러(1707-1783)의 ‘-1의 제곱근’.
최초의 위상 불변량을 이용해 서로 다른 위상을 가진 다면체를 구분할 수 있는 역사상 가장 많은 저서를 남긴 레온하르트 오일러의 ‘다면체 공식’. 중심 극한 정리는 종형 곡선이 여러 번 반복해서 얻은 관측값들의 평균에 유일하게 부합하는 확률분포 카를 프리드리히 가우스(1777-1855)의 ‘정규 분포’. 파동은 오늘날 전자공학과 전 지구적 고속 통신, 제트 여객기와 인공위성, 라디오, 텔레비전, 해일경보 시스템으로 이어진 장 르 롱 달랑베르(1717-1783)의 ‘파동 방정식’.
가장 일반적인 형태에서, 가능한 모든 진동수의 파동들을 조합한 함수 f를 가지는 신호를 보내는 조제프 푸리에(1768-1830)의 ‘푸리에 변환’. 전산유체 역학으로 알려진 기법은 유체의 흐름과 관련된 모든 분야에서 표준적인 도구 클로스루이 나비에(1785-1836)·조지 가브리엘 스토크스(1819-1903)의 ‘나비에-스토크스 방정식’. 패러데이의 역학이론에서 유도한 수학 방정식을 사용해 빛의 속도로 여행하는 전파의 존재를 예측 제임스 클러크 맥스웰(1831-1879)의 ‘맥스웰 방정식’. 물리적으로 가능한 모든 열역학 과정에서 고립된 계의 엔트로피는 늘 증가 루트비히 볼츠만(1844-1906)의 ‘열역학 제2법칙’.
공간과 시간, 질량, 전자기학 그리고 중력을 다룬 알베르트 아인슈타인(1879-1955)의 ‘상대성이론’. 양자적 파동함수를 보여주는 미분방정식을 세운 에르빈 슈뢰딩거(1887-1961)의 ‘슈뢰딩거 방정식’. 최초로 수학논리를 컴퓨터 회로에 적용시킨 인물 중의 하나 클로드 섀넌(1916-2001)의 ‘정보 이론’. 숨겨진 패턴들을 알아내고 자연의 여러 불규칙성을 연구할 수 있는 로버트 메이(1936-2020)의 ‘카오스 이론’. 너무 복잡해서 인간의 직감과 애매한 추론으로 운영되기 어려운 금융시스템의 옵션의 가격을 매기는 방법, 피셔 블랙(1938-1995)·마이런 숄스(1941- )의 ‘블랙-숄스 방정식’.
'책을 되새김질하다' 카테고리의 다른 글
| 와사등 (10) | 2025.08.12 |
|---|---|
| 기원의 탐구 (7) | 2025.08.11 |
| 다산의 생각을 따라 (14) | 2025.08.07 |
| 다산의 마음을 찾아 (11) | 2025.08.06 |
| 조선미술사기행 1 (13) | 2025.08.05 |